
图片来源:摄图网
帕金森病(PD),又名震颤麻痹。由于脑内被称作“黑质”的部位出现急剧功能退化,不能产生一种神经传导物质“多巴胺”,使得脑部指挥肌肉活动的能力受到不同程度的限制,大大阻碍了患者的活动能力。多数研究表明帕金森病与家族遗传、环境因素、年龄老化等都有一定关系。
据统计,全球有大约450万帕金森病患者,近一半在中国,是继肿瘤、心脑血管病之后中老年的“第三杀手”。
早期识别帕金森病典型运动症状
震颤:多为首发症状,安静时出现,紧张时加剧,入睡后消失;拇指和食指“搓丸样”动作。
僵直:身体甚至躯干僵硬;肌肉僵硬,走路时上肢无前后摆动。
运动迟缓:运动减少或缓慢;面具脸(面部表情减少、呆板)、小写症(写字越写越小)。
姿势步态异常:弯腰驼背;走路时出现小碎步,呈慌张步态,越走越快,易跌倒。
另外,还会出现睡眠障碍、情绪低落、抑郁、反应迟钝、出现幻觉,不明原因的嗅觉减退、手脚麻木、肢体关节疼痛,还有自主神经症状如顽固性便秘、体位性低血压、出汗多、心慌等。
如果出现以上这些表现,一定要及时去看神经内科医生。

图片来源:摄图网
目前,帕金森病尚无治愈的方法,但及早规范治疗,可控制、缓解和改善帕金森症状,延缓病情进展,提高生活质量,最大程度接近正常人的生活。
随着对氢医学的不断研究,氢气被发现对部分疾病具有积极的作用。因此,有专家学者展开了氢分子对帕金森病的临床研究:
氢气干预帕金森病临床研究
帕金森病最主要的病理改变是中脑黑质多巴胺(dopamine,DA)能神经元的变性死亡,并由此引起纹状体DA含量显著性减少而致病。
【日本】富氢水干预帕金森病17例临床研究
日本顺天堂医院的Yoritaka等开展了一项针对PD患者的临床试验,该试验共招募了17例PD患者(女11例,男6例),患者连续48周每天饮用富氢水1L辅助左旋多巴药物治疗。
结果表明,氢水辅助干预后患者的帕金森病统一评定量表评分显著改善,而安慰剂组结果继续恶化,该研究初步证实了饮用富氢水辅助治疗PD的安全性和耐受性均较好,并能显著改善PD患者的生活质量。

图片来源:摄图网
【青岛】富氢水干预帕金森病64例临床研究
王晓英,许长春.富氢水治疗帕金森病64例临床研究[J].海军医学杂志,2021,42(01):108-109.
青岛海军特勤疗养中心许长春团队开展了一项饮用富氢水辅助干预PD的随机对照临床试验。该试验共招募64例PD患者,所有患者均采用口服多巴丝肼治疗,初始剂量每次125mg,每天3次,后根据病情调整剂量。将所有患者随机分为饮用富氢水辅助治疗组和对照组,其中饮用富氢水辅助治疗组每天饮用富氢水800~1000mL,对照组每天饮用等量纯净水,两组患者均治疗3个月。

结果表明,饮用富氢水组患者的帕金森病评分显著低于对照组,日常生活质量有所提高,提示饮用富氢水能明显改善帕金森患者的临床症状,提高患者生活质量。
【台湾】饮用氢水结合光生物调节干预帕金森病18名患者临床研究
Hong CT, Hu CJ, Lin HY, Wu D. Effects of concomitant use of hydrogen water and photobiomodulation on Parkinson disease: A pilot study. Medicine (Baltimore). 2021 Jan 29;100(4):e24191. doi: 10.1097/MD.0000000000024191. PMID: 33530211.
这项研究来自台湾,是给帕金森病患者饮用氢水结合光生物调节,研究目的是确定氢水结合光生物调节治疗帕金森病的安全性和有效性。该试验共招募18例PD患者,所有患者均接受了PBM联合富氢水治疗两周。

研究摘要模式图
试验结果表明,治疗第1周统一帕金森病评定量表评分明显下降,这种改善作用持续到治疗结束,同时,未发现有任何不良反应。在治疗结束后1周,虽然统一帕金森病评定量表略有上升,但是与基线期相比改善作用仍较明显。这一初步研究结果表明,氢水联合光生物调节治疗帕金森病是安全的,并有一定的干预效果。

图片来源:摄图网
以上研究结果表明,饮用富氢水对帕金森病的干预是安全的,同时目前临床试验结果已经显示出很好的干预潜力。
Ichikawa, Yusuke1,2,*; Sato, Bunpei1,2; Hirano, Shin-ichi1; Takefuji, Yoshiyasu3,4; Satoh, Fumitake1,2. Realizing brain therapy with “smart medicine”: mechanism and case report of molecular hydrogen inhalation for Parkinson’s disease. Medical Gas Research 14(3):p 89-95, September 2024.
一名帕金森病患者(67岁男性,病史:约8年)使用气态氢吸入装置(MHG-2000a;MiZ Company Limited)每天约90分钟,持续约2个月。在这里,混合气体首先每 2 或 3 天吸入一次,持续约 3 周,然后在接下来的 5 周内每天吸入一次。MHG-2000α中的氢浓度为6.0%-7.0%(产氢速率:约140 mL/min)。在吸入氢气之前,患者曾接受过药物治疗和康复治疗,但帕金森病症状(特别是运动缓慢、四肢颤抖、前弯姿势等)没有任何改善迹象。
由于吸入氢气约2个月,患者在肤色、声音、运动、步态等方面几乎与健康人相当。此外,首次吸入氢气90 min时,吸气开始后约30分钟停止双手抖动,吸气开始后约40分钟下颌下停止颤抖,吸气开始后90分钟,前屈姿势改善至直立状态和前屈形状态之间。
一名帕金森病患者(72岁男性,病史:约6年)每天使用气态氢吸入装置吸入氢气和空气的混合气体,持续90或120分钟。在这里,每天吸入混合气体大约4.5个月。MHG-2000a中的氢浓度为6.0%至7.0%(制氢速率:约140 mL/min)。
在患者中,腰部弯曲成犬腿形状,手和嘴在开始吸入氢气之前已经明显颤抖。第一次吸入氢气时,开始吸入氢气后约45分钟停止双手颤抖,开始吸入氢气后约55分钟停止口部震动,开始吸入氢气后约90分钟腰部弯曲改善。在患者中,手和腿没有摇晃,或轻微摇晃,嘴巴轻微摇晃,前弯姿势改善到合理的直立状态,尽管姿势不是完全直立,在每天吸入氢气90或120分钟后,立即约1个月。然而,第二天,观察到手、嘴和腿经常颤抖,但如上所述,吸入氢气后没有颤抖或轻微摇晃,并且观察到症状趋于显着改善。在开始吸入氢气后约3个月内观察到这种状态,在此期间,患者还摄入了约30次氢水(氢浓度:1.6ppm)。在开始吸入氢气后约4个月观察到明显改善,手抖和嘴巴太小而无法识别,除非仔细观察,脊柱弯曲与早期症状相比减少,脊柱伸直。此外,系好衣服纽扣的时间和换衣服的时间明显缩短,可以抬起手臂,身体整体变得灵活,声音变得活泼。
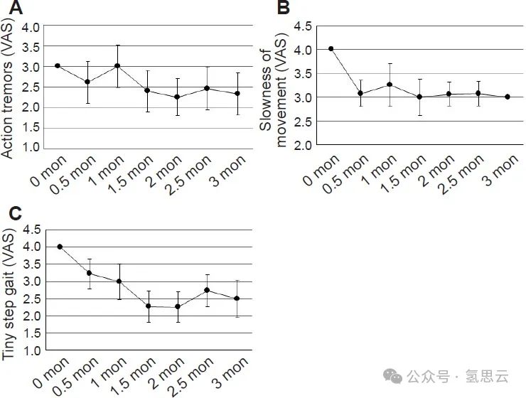
一名帕金森病患者(46岁男性),约3年前患病,每天服用0.375mg Prami-pexol LA片剂(Sawai Pharmaceutical Co., Ltd.,日本大阪),2.5mg FP Tablet OD(FP Co.,Ltd.,日本大阪)和100mg Carcopa Formulated Tablet L(协和制药工业株式会社,日本富山市), 每周输注一次谷胱甘肽。然而,由于帕金森病特有的症状,如行动缓慢、四肢颤抖和微小步态,没有得到充分改善,因此使用氢气吸入设备(氢浓度:约4%体积)吸入氢气,持续约20分钟,持续3个月。
通过视觉模拟量表测量患者的动作震颤、运动缓慢和微小步态的症状(图 2)。开始吸入后,观察到与吸入氢气前的症状相比,所有症状均明显改善。

图2 一名 46 岁男性帕金森病患者开始吸入氢气后 3 个月以上的症状。注意:(A-C)分别改善了动作震颤、运动缓慢和微小步态的症状。VAS 值越大表示情况越差。值表示为标准差±均值。VAS:视觉模拟量表。
一名帕金森病患者(60岁男性)在大约4年前受到影响,服用了三种药物。患者出现运动缓慢、背部弯曲成犬腿形、拿筷子的手颤抖等症状。因此,使用气态氢吸入装置(氢浓度:6.0%至7.0%体积(氢气产生速率:约140 mL/min)吸入氢气,持续1至3小时,持续3个月。
通过视觉模拟量表测量患者的运动缓慢、前弯姿势、僵硬、小步态、排便(便秘)和睡眠(失眠)等症状(图3)。开始吸入后,观察到与吸入氢气前的症状相比,运动缓慢、前弯姿势、僵硬、排便(便秘)和睡眠(失眠)明显改善。

图 3一名 60 岁男性帕金森病患者开始吸入氢气后 3 个月以上的症状。注意:(A-F)分别改善运动缓慢、前弯姿势、僵硬、小步态、排便(便秘)和睡眠(失眠)等症状。VAS 值越大表示情况越差。值以标准差±平均值表示。VAS:视觉模拟刻度。
本文部分内容参考自氢思云文章